Beranda
/ Cara Mengerjakan Perkalian Desimal : Perkalian Pecahan Desimal Dengan Cara Bersusun Matematika Sd Youtube : Kedua cara itu akan kita coba untuk menyelesaikan perkalian dua pecahan desimal di atas.
Cara Mengerjakan Perkalian Desimal : Perkalian Pecahan Desimal Dengan Cara Bersusun Matematika Sd Youtube : Kedua cara itu akan kita coba untuk menyelesaikan perkalian dua pecahan desimal di atas.
Cara Mengerjakan Perkalian Desimal : Perkalian Pecahan Desimal Dengan Cara Bersusun Matematika Sd Youtube : Kedua cara itu akan kita coba untuk menyelesaikan perkalian dua pecahan desimal di atas.. Soal dengan mencari perbedaan suhu di antara dua tempat; Setelah didapat hasil perkalian selanjutnya menghitung jumlah semua koma pada. Jika pecahannya berbentuk bilangan campuran (berarti pangkatnya adalah bilangan desimal yang lebih besar dari 1), tulis ulang sebagai pecahan tak wajar. Untuk mengetahui di mana menempatkan titik desimal dalam masalah perkalian desimal, hitung jumlah total tempat desimal di setiap faktor. Berbagai macam sebutan itu menunjukkan bahwasanya nilai yang merupakan hasil pembagian sebuah bilangan dengan bilangan lainnya ataupun sering disebut dengan pecahan.
Kalikan 6 dengan 4 di 0,43 sehingga hasilnya 24. 21,4 faktor pertama memiliki satu tempat desimal. Write quickly and confidently | grammarly. Soal di atas adalah soal tentang perkalian bilangan desimal yang pengerjaannya sama dengan cara yang teapi rangkap tiga. Lakukan dengan cara menyederhanakan pecahannya.
Operasi Perkalian Bilangan Bulat Dengan Pecahan Desimal Youtube from i.ytimg.com Memperhatikan jumlah desimal (koma) pada semua bilangan pecahan desimal 2. Ockey mari kita langsung ke pokok materi. Mengubah ke bentuk desimal langkah pertama adalah mengubah pecahan 3/4 menjadi bentuk desimal 3 / 4 = 75 / 100 = 0,75 setelah itu, lakukan operasi perkalian pada kedua bilangan desimal tersebut. Kurangkan 1 dengan 0 dan taruh hasilnya. Menyederhanakan akar 8 dan akar 24; 214 x 36 = 7.704, dan 21,4 x 3,6 = 77,04. If playback doesn't begin shortly, try. 21,4 faktor pertama memiliki satu tempat desimal.
Hal ini sangat berguna untuk memudahkan dalam meluruskan tanda koma atau tanda desimal.
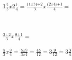
Cara mengerjakan operasi hitung bilangan pecahan (pecahan biasa) 1. Setelah pengerjaan perkalian sebagai bilangan bulat itu bisa menemukan hasilnya, langkah selanjutnya adalah mengembalikan jumlah desimal atau jumlah angka dibelakang koma, sebanyak semua desimal atau angka dibelakang koma pada semua bilangan yang dikerjakan perkaliannya. Bentuk sederhana akar 12 dan akar 18; Lakukan dengan cara menyederhanakan pecahannya. Kedua cara itu akan kita coba untuk menyelesaikan perkalian dua pecahan desimal di atas. Silakan tanyakan masalah anda tentang matematika. 75 100 {\displaystyle {\frac {75} {100}}} bisa disederhanakan jadi. Berbagai macam sebutan itu menunjukkan bahwasanya nilai yang merupakan hasil pembagian sebuah bilangan dengan bilangan lainnya ataupun sering disebut dengan pecahan. #penjumlahanpenguranganperkaliandanpembagianpecahanselamat datang bapak atau ibu maupun kakak yang ingin belajar dan untuk mengajari anaknya matematika tingk. Hal ini sangat berguna untuk memudahkan dalam meluruskan tanda koma atau tanda desimal. Untuk mengerjakan pembagian bersusun panjang, letakkan penyebut (angka yang akan membagi) di luar bilah pembagi, dan pembilang (angka yang akan dibagi) di dalam bilah pembagi.1 x teliti sumber sebagai contoh: Penjumlahan dan pengurangan pecahan biasa proses pengerjaan operasi penjumlahan dan. Mencari faktor dari x 2 +12x ;
Penjumlahan dan pengurangan pecahan biasa proses pengerjaan operasi penjumlahan dan. Jika terdapat satu bilangan dibelakang koma seperti (2,5) maka bisa disebut dengan (25/10), dan jika terdapat dua bilangan dibelakang koma seperti (5,22) maka sama. Untuk mengerjakan pembagian bersusun panjang, letakkan penyebut (angka yang akan membagi) di luar bilah pembagi, dan pembilang (angka yang akan dibagi) di dalam bilah pembagi.1 x teliti sumber sebagai contoh: Pembilang x pembilang = pembilang penyebut x penyebut = penyebut contoh 1 1/2 x 3/4 = 1 x 3 = 3 sebagai pembilang pada jawaban, 2 x 4 = 8 sebagai penyebut pada jawaban. #penjumlahanpenguranganperkaliandanpembagianpecahanselamat datang bapak atau ibu maupun kakak yang ingin belajar dan untuk mengajari anaknya matematika tingk.
Perkalian Pecahan Desimal Dengan Persen Cilacap Klik from cilacapklik.com Penyebut sama atau berbeda tidak akan menjadi masalah, langsung saja mengerjakan operasi hitung perkalian pecahan biasa. 3,075 x 1,23 = 3,78225 jumlah desimal pada jawaban, kita tinggalmenambahkan jumlah desimal pada angka mengalikan (3,075) tiga desimal. Berapakah posisi titik a terhadap titik b? If playback doesn't begin shortly, try. Mengubah ke bentuk desimal langkah pertama adalah mengubah pecahan 3/4 menjadi bentuk desimal 3 / 4 = 75 / 100 = 0,75 setelah itu, lakukan operasi perkalian pada kedua bilangan desimal tersebut. Hal ini sangat berguna untuk memudahkan dalam meluruskan tanda koma atau tanda desimal. Lakukan dengan cara menyederhanakan pecahannya. Belajar matematika makin asyik dan kreatif bersama apiq.
Kalikan angka dan abaikan titik desimal.
Kalikan angka dan abaikan titik desimal. Penjumlahan bilangan desimal hampir seperti penjumlahan bilangan bulat biasa. Bentuk sederhana akar 12 dan akar 18; Penyebut sama atau berbeda tidak akan menjadi masalah, langsung saja mengerjakan operasi hitung perkalian pecahan biasa. Cara mudah mengubah desimal ke persen #1 cara menyelesaikan pembagian desimal dengan desimal; Tuliskan 8 di bawah 6 dan bawa 1 ke atas angka 4. Kalikan 6 dengan 4 di 0,43 sehingga hasilnya 24. Mencari bentuk sederhana dari √108; Dalam contoh ini, 1 tidak bisa dibagi dengan 3 sehingga taruh angka 0 di atas bilah pembagi dan lanjutkan ke langkah berikutnya. 3,075 x 1,23 = 3,78225 jumlah desimal pada jawaban, kita tinggalmenambahkan jumlah desimal pada angka mengalikan (3,075) tiga desimal. Penjumlahan dan pengurangan pecahan biasa proses pengerjaan operasi penjumlahan dan. Pada perkalian pecahan desimal, bila memungkinkan tidak perlu menggunakan perkalian susun, walaupun pada kasus tertentu tetap saja membutuhkan langkah perkalian susun, namun perkalian susun itu dilakukan dengan menghilangkan tanda koma atau tanda desimalnya terlebih dahulu. Menyederhanakan akar 8 dan akar 24;
Setelah ditemukan hasil perkaliannya, kembalikan tanda desimalnya, jumlah desimal pada jawaban. Lakukan dengan cara menyederhanakan pecahannya. #penjumlahanpenguranganperkaliandanpembagianpecahanselamat datang bapak atau ibu maupun kakak yang ingin belajar dan untuk mengajari anaknya matematika tingk. Cara mudah mengubah desimal ke persen #1 cara menyelesaikan pembagian desimal dengan desimal; Soal dengan mencari perbedaan suhu di antara dua tempat;
Cara Menghitung Perkalian Dan Pembagian Bilangan Pecahan Beserta Contohnya Lengkap Weschool Id from www.weschool.id Kedua cara itu akan kita coba untuk menyelesaikan perkalian dua pecahan desimal di atas. Menyederhanakan akar 8 dan akar 24; 75 100 {\displaystyle {\frac {75} {100}}} bisa disederhanakan jadi. Kalikan angka dan abaikan titik desimal. 3,075 x 1,23 = 3,78225 jumlah desimal pada jawaban, kita tinggalmenambahkan jumlah desimal pada angka mengalikan (3,075) tiga desimal. Tuliskan 8 di bawah 6 dan bawa 1 ke atas angka 4. Dalam contoh ini, 1 tidak bisa dibagi dengan 3 sehingga taruh angka 0 di atas bilah pembagi dan lanjutkan ke langkah berikutnya. Cara mengerjakan operasi hitung bilangan pecahan (pecahan biasa) 1.
Pada perkalian pecahan desimal, bila memungkinkan tidak perlu menggunakan perkalian susun, walaupun pada kasus tertentu tetap saja membutuhkan langkah perkalian susun, namun perkalian susun itu dilakukan dengan menghilangkan tanda koma atau tanda desimalnya terlebih dahulu.
Sekarang kalikan angka sama seperti perkalian biasa. Menyederhanakan akar 8 dan akar 24; Yang harus dilakukan hanyalah menyejajarkan tanda desimal (tanda koma), serta memastikan tanda desimal juga dituliskan pada. Dengan cara mengerjakan sama dengan cara nomor 4 hasilnya adalah 81,81705. Cara mudah mengubah desimal ke persen #1 cara menyelesaikan pembagian desimal dengan desimal; Mencari faktor dari x 2 +12x ; Belajar matematika makin asyik dan kreatif bersama apiq. Lakukan dengan cara menyederhanakan pecahannya. Perbedaannya terletak pada penempatan titik desimal dalam jawaban akhir: Pada pertemuan kali ini, basemat telah sampai pada share tentang cara mengerjakan perkalian pecahan desimal. Ockey mari kita langsung ke pokok materi. Penjumlahan dan pengurangan pecahan biasa proses pengerjaan operasi penjumlahan dan. Bentuk sederhana akar 12 dan akar 18;
Berbagi
Posting Komentar
untuk "Cara Mengerjakan Perkalian Desimal : Perkalian Pecahan Desimal Dengan Cara Bersusun Matematika Sd Youtube : Kedua cara itu akan kita coba untuk menyelesaikan perkalian dua pecahan desimal di atas."
Posting Komentar untuk "Cara Mengerjakan Perkalian Desimal : Perkalian Pecahan Desimal Dengan Cara Bersusun Matematika Sd Youtube : Kedua cara itu akan kita coba untuk menyelesaikan perkalian dua pecahan desimal di atas."